Dynamic furan/maleimide bond-incorporated cyclic polymer for topology transformation
Ying Li, Yanyan Zhou, Yu Zhou, Qian Yu, Jian Zhu, Nianchen Zhou, Zhengbiao Zhang* , Xiulin Zhu
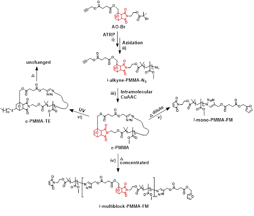
本文通过ATRP聚合获得了一端连有炔基一端连有叠氮基且中间包含有呋喃/马来酰亚胺动态加合结构的PMMA聚合物。之后,在稀释条件下利用CuAAC成环获得由于包含DA加合结构而具有热可逆性的环状拓扑聚合物。我们在高浓度条件下通过调节温度使环完全打开后分子链之间反应相连,从而实现由环状聚合物向高分子量多嵌段线性聚合物的转变。
更进一步的,我们利用DA加合结构上的双键与巯基之间的光致自由基thiol-ene反应,将小分子的硫醇后修饰到环上并使得环上的DA加合结构被锁住,最终实现环状聚合物由热响应性转变为热稳定性。

